发布时间:2022-08-02 07:38:31来源:作者:老杨

牛津大学的教授和研究人员进行的一项研究发现,玩电子游戏不太可能对玩家的健康产生积极或消极的影响。这一发现是在中国宣布出于对年轻公民健康的关注,对其在线视频游戏实行每周三小时的限制之后。
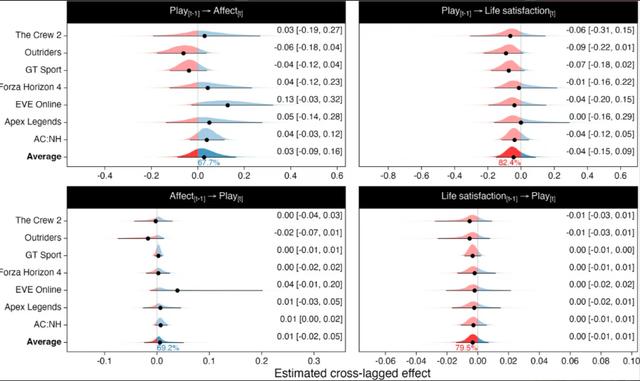
该研究调查了39,000名18岁或以上的游戏玩家,涉及7款游戏。研究人员还与七家"领先的视频游戏公司"合作–美国任天堂、EA、CCP游戏、微软、索尼、Square Enix和育碧。
通过与这些公司合作,研究人员能够跟踪实际的游戏习惯,而不是自我报告的习惯。一位研究人员告诉《卫报》,这些游戏不是随机挑选的,而是由出版商挑选的“面向开放科学”的游戏。
玩家被要求填写过去两周的情绪调查,以及他们玩相关游戏的时间。尽管这项研究涉及数千名游戏玩家,而且结果表明游戏对情绪没有产生有意义的影响,但研究人员认为这一结果是朝着未来电子游戏政策的正确方向迈出的一小步。

牛津大学互联网研究所的高级研究员Andrew K. Przybylski教授说:"我们知道,我们需要来自更多平台的更多玩家数据,以发展为政策提供信息并形成对父母和医疗专业人士的建议所需的那种更深入的理解,"他曾就媒体对幸福的整体影响进行过类似的研究,包括音乐、电视、书籍和电影,结果相似。
Przybylski教授还呼吁视频游戏公司提高透明度。"如果我们想真正了解游戏如何影响人类健康,我们必须从每天玩的成千上万的游戏中收集数据。对于游戏如何影响我们的社会这些问题的结论性答案将需要所有主要的控制台、计算机和移动平台授权其用户毫不费力地、合乎道德地捐赠他们的游戏数据以进行独立分析"。
牛津互联网研究所研究员Matti Vuore博士说:"有一点是肯定的–现在没有足够的数据和证据让政策制定者和监管者制定法律和规则来限制人口中某些群体的游戏。"
参与这项研究的一些研究人员还在2020年进行了一项关于《集合啦!动物森友会》对幸福感的影响的研究,发现它可以产生积极影响。""我们的研究结果显示,视频游戏不一定对你的健康有害,"Przybylski教授在2020年说。"事实上,游戏可以是一种与人们的心理健康有积极关系的活动–而监管电子游戏可能会阻碍玩家获得这些好处。" 该研究还假设,在现实世界中心理需求没有得到满足的人,更有可能报告游戏的负面结果。

所有这些研究的收获是什么?首先,这项研究–以及任何研究–"几乎没有触及更广泛的视频游戏的表面",尽管这些发现可能是准确的,但它们是不完整的图像。第二,政策制定者需要根据证据做出决定,而不是对视频游戏的直觉。
第三,我们不应该依赖电子游戏来改善我们的情绪,也不应该把不快乐归咎于它们–尽管在某些情况下,游戏体验可能会影响我们的感觉,但游戏只是一天中各种事情的一部分。它们不是神奇的灵丹妙药,也不是魔鬼。
"展望未来,必须建立更广泛和更深入的经验和理论网络,并专注于游戏体验的质量、游戏内事件以及影响可能会有所不同的玩家。在那之前,仅仅根据时间来限制或促进游戏似乎既无好处也无坏处"。